최근 연구 ‘바다의 보이지 않는 위협’ 경고
CO2로 완전히 분해되는 속도 너무 느려
매년 바닷물, 퇴적토 수백 만톤씩 더해져
수십~수백년 분해 안 된 채 계속 축적돼
환경변화로 갑자기 분해되면 재앙 초래
플라스틱 배출량 줄이는 국제협력 시급

[ESG경제신문=강찬수 환경전문기자] 대기 중 이산화탄소(CO₂) 농도가 쌓여 기후위기를 초래하듯, 바다에도 조용히 축적되고 있는 ‘시한폭탄’이 있다. 바로 미세플라스틱(MPs)에서 유래한 유기물이다. 이들은 당장 눈에 띄지 않지만, 수십 년~수백 년 동안 해양에서 분해되지 않고 점점 쌓여 언젠가 생태계와 기후에 파괴적인 영향을 줄 수 있다는 경고가 나왔다.
최근 국제 학술지에 게재된 두 편의 연구 논문은 미세플라스틱이 해양에서 어떤 형태로, 얼마나 오래, 그리고 어떤 속도로 탄소를 방출·축적하는지 장기간 실험과 모델을 통해 규명했다. 결과는 충격적이다.
축적이 만드는 ‘시한폭탄’
먼저 중국 구이저우대학 연구팀이 ‘환경 과학 기술(Environmental Science and Technology)’ 저널에 발표한 논문에 따르면, 바다로 유입된 미세플라스틱은 단기간에 CO₂로 완전히 분해되지 않는다.
연구팀은 전통 플라스틱인 폴리스티렌(PS)과 생분해성 플라스틱인 폴리뷰티렌석시네이트(polybutylene succinate, PBS)에 자외선을 쬐 플라스틱 노화 과정과 분해 기작을 조사했다. 크기 650~850 μm의 플라스틱에 30일까지 자외선(254 nm 파장, 40W)을 쬐거나 어두운 곳에서 기계적으로 흔들어주기만 하면서 관찰했다.
![중국 구이저우 대학 연구팀의 실험과정을 나타낸 그림. [자료: Environmental Science and Technology, 2025]](https://cdn.esgeconomy.com/news/photo/202508/12336_17595_2330.png)
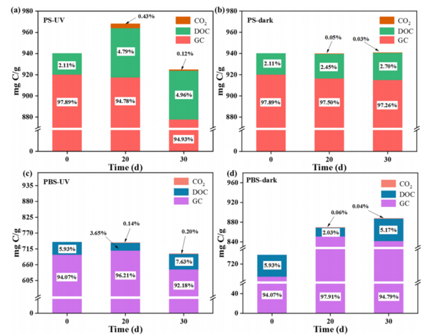
20일 동안 자외선을 쬔 폴리스티렌의 경우 입자 상태의 플라스틱 1g당 2.7㎎의 탄소가 감소했는데, 감소된 부분은 주로 용존유기탄소(dissolved organic carbon, DOC)와 CO2로 전환됐다. 다시 20~30일 사이에 입자상 플라스틱 1당 탄소가 39.7㎎ 감소했다. 94.93%는 여전히 입자 상태였고, 4.96%는 용존유기탄소로 존재했고, CO2로 전환된 것은 0.12%에 불과했다.
어두운 곳에서 흔들어준 경우는 30일 후 97.26%가 입자 상태로 남아 있었고, 2.7%가 용존 상태로, 0.03%만 CO2로 전환됐다.
생분해성 플라스틱의 경우 30일 후 CO2로 전환된 비율이 자외선 아래에서는 0.2%, 어두운 곳에서는 0.04%에 그쳤다.
![중국 구이저우 대학 연구팀의 실험 결과. (a)는 폴르스티렌에 30일 동안 자외선을 쬐면서 분해과정을 추적한 것으로 GC는 입자상, DOC는 용존유기물, CO2는 완전 분해된 것을 말한다. (b)는 30일동안 어두운 곳에서 폴리스티렌을 흔들어주면서 추적한 것, (c)는 생분해성 플라스틱인 PBS에 30일 동안 자외선을 쬔 것이고, (d)는 PBS를 30일 동안 어두운 곳에서 흔들어주면서 분해되는 과정을 추적한 것이다. [자료: Environmental Science and Technology, 2025]](https://cdn.esgeconomy.com/news/photo/202508/12336_17596_2429.png)
홍콩과학기술대 연구팀이 같은 저널에 발표한 연구는 이 과정을 더 세밀하게 들여다봤다. 폴리에틸렌(PE)과 폴리프로필렌(PP) 미세플라스틱을 크기별(5mm·250μm)로 나누어 180일간 인공 해수에 자외선을 쬐는 실험을 진행했다.
그 결과, 작은 크기의 PP(250μm)는 1g당 평균 14.38mg의 유기탄소(DOC) 형태로 물속에 방출했다. 이는 같은 재질의 대형 입자(5mm)보다 5배 이상, PE보다 최대 12배 이상 많았다.
이 데이터를 전 세계 표층에 부유하는 미세플라스틱 양에 대입하면, 매년 4,914톤~671만4200톤의 유기탄소(DOC)가 바닷물로 유입될 수 있다는 계산이 나온다. 이 중 상당 부분은 생물에 의해 쉽게 분해되지 않는 난분해성 형태로 바뀌어 수십~수백 년간 바다 속에 남게 된다.

해양에 쌓이는 ‘보이지 않는 탄소’
미세플라스틱은 태양 자외선과 미생물 작용으로 일부가 용존유기탄소(DOC)로 전환되지만, 대부분의 탄소는 입자상(particulate organic carbon, POC) 형태로 남아 해류를 타고 순환하거나 해저로 가라앉는다. 1년이 지나도 전체 탄소의 90% 이상이 POC나 난분해성 DOC(Refractory DOM, RDOM) 형태로 해양에 잔류한다.
우리의 일상생활에 깊이 스며든 플라스틱은 현대 사회의 편리함을 제공하지만, 동시에 심각한 환경 문제를 야기하고 있다. 특히 바다로 유입된 플라스틱은 다양한 자연적 과정을 통해 미세플라스틱(지름 5mm 이하)으로 조각나며 해양 생태계 전반에 퍼져나가고 있다.
전 세계 플라스틱 생산량은 1979년 6,200만 톤에서 2023년 4억 1,400만 톤으로 급증했으며, 매년 115만~241만 톤의 플라스틱 폐기물이 바다로 유입되는 것으로 추정된다. 이미 약 5조 개의 미세플라스틱이 해수면에 부유하고 있는 것으로 보고되기도 했지만 측정하기 어려운, 더 작은 나노플라스틱(지름 1㎛ 이하)까지 고려하면 숫자는 의미가 없다.
이러한 미세플라스틱은 탄화수소 중합체로서 풍부한 탄소를 함유하고 있으며, 자연 환경에서 노화(aging)를 겪으면 더 작은 나노플라스틱으로 쪼개진다. 나아가서 눈에 보이지 않는 용존유기탄소(DOC)로 나눠지고, 최종적으로는 CO2로 분해된다. 특히, 해양 표층수에서는 자외선(UV) 노출에 의한 광분해가 미세플라스틱 분해 및 미세플라스틱 유래 용존유기물(MPs-DOM) 방출의 주된 경로가 된다.
![중국 구이저우 대학 연구팀이 전 세계 해양의 미세플라스틱 분해에 대해 전망한 그림. (c)는 전통적인 플라스틱, (d)는 생분해성 플라스틱. 90% 이상은 입자 상태로 남아있고, 극히 알부만 이산화탄소로 완전히 분해될 것으로 예상했다. [자료: Environmental Science and Technology, 2025]](https://cdn.esgeconomy.com/news/photo/202508/12336_17598_290.png)
현재 미세플라스틱의 이산화탄소 방출량은 전체 지구 이산화탄소 배출량에 비해 미미한 비중을 차지하지만, 이러한 지속적이고 느린 변화는 전 지구적 탄소 흐름과 지구화학적 물질 순환을 점진적으로 변화시킬 수 있다.
‘플라스티스피어(plastisphere)’라 불리는 미세플라스틱 표면의 미생물 군집은 미세플라스틱 노화와 생지화학적 순환에 큰 영향을 준다. 미생물은 미세플라스틱 표면에 부착·증식·세포외 고분자물질을 분비하며, 환경 요인의 영향을 받아 생물막(biofilm)을 형성한다. 플라스티스피어는 미세플라스틱의 노화 부산물 방출에 영향을 미치며, 용존유기물과 CO₂ 등의 생산을 매개한다.

“해양 기초 생태계까지 위협”
현재 해양 표층과 심해에는 자연 기원의 용존 유기물(dissolved organic matter, DOM)이 엄청난 규모로 존재한다. 여기에 인위적 기원, 특히 플라스틱에서 나온 난분해성 용존유기물(RDOM)이 꾸준히 더해지고 있는 것이다.
홍콩과기대 연구팀은 특히 폴리프로필렌(PP) 계열의 작은 입자가 해양 난분해성 용존유기물(DOM) 풀을 더 크게 확장시키는 경향이 뚜렷하다고 지적했다. 글로벌 해양 용존유기물 데이터베이스와 비교한 결과, 실험에서 생성된 분자의 4~66%가 실제 대양·하구·강의 용존유기물에서 발견됐다. 이는 미세플라스틱 기원의 용존유기물이 이미 해양 탄소 풀의 한 축이 되고 있음을 시사한다.
해양에 축적되는 미세플라스틱 유래 용존유기물은 그 화학적 구조가 천연 유기물과 유사하여 해양 탄소 풀에 잠재적으로 기여하고, 유기탄소 회전율과 CO2 방출 등에 영향을 미칠 수 있다는 얘기다.
문제는 이 물질들이 당장은 해양 탄소 순환의 ‘죽은 저장고(dead storage)’ 역할을 하지만, 해양 물리·화학 환경이 변하면 언제든 다시 활성화될 수 있다는 점이다.
수온 상승, 산성화, 해류 변화 등으로 미생물 군집의 구조나 활동이 달라져서 지금은 안정된 상태인 난분해성 유기물(RDOM)이 본격적으로 분해한다면 대량의 CO₂나 메탄(CH₄)을 방출할 수 있다. 이는 대기 중 온실가스를 급격히 늘려 기후변화를 가속하고, 해양산성화와 저산소화를 심화시켜 어류·산호·플랑크톤 등 기초 생태계까지 위협할 수 있다.

“바다는 대기의 거울이 될 수 있다”
대기 중 CO₂가 누적되어 기후재앙을 불러온 것처럼, 바다도 유사한 경로를 밟을 수 있다는 우려가 커지고 있다. 차이는 ‘시간 스케일’이다. 대기는 수십 년, 해양은 수백 년이 걸릴 수 있다. 하지만 결국 축적된 탄소가 임계점을 넘으면, 대기·해양 시스템이 동시에 요동칠 가능성도 배제할 수 없다.
더구나 미세플라스틱의 분해 과정에서는 플라스틱 첨가제, 난분해성 고분자 조각, 미량 금속 등이 함께 방출되어 독성 문제를 일으킬 수 있다. 이는 단순한 탄소 문제를 넘어 해양 생물의 건강과 먹이망 안정성에도 직격탄이 될 수 있다.
이번 두 연구는 미세플라스틱 문제를 ‘쓰레기 수거’나 ‘재활용’ 수준에서만 다룰 수 없다는 점을 분명히 했다. 미세·나노 크기로 쪼개진 플라스틱은 제거가 거의 불가능하고, 그 탄소는 수 세대에 걸쳐 해양에 남는다. 따라서 원천 배출을 줄이는 정책, 해양 플라스틱의 장기 화학 변환 연구, 탄소 축적·재활성화 위험 평가가 동시에 이뤄져야 한다.
우리가 지금 바다에 흘려보내는 미세플라스틱은 단순 쓰레기가 아니라, 미래 세대를 향한 ‘탄소 시한폭탄’인 셈이다. 눈에 보이지 않는 이 폭탄이 터질 때, 피해 규모는 기후 위기와 맞먹을 수도 있다.
이러한 재앙을 막기 위해서는 지금 당장 다음과 같은 다각적인 노력이 필요하다.
1. 플라스틱 생산 및 사용량 감축: 플라스틱 폐기물의 근본적인 발생을 줄이는 것이 가장 중요하다.
2. 재활용률 증대 및 폐기물 관리 강화: 생산된 플라스틱이 자연환경으로 유출되지 않도록 재활용 시스템을 개선하고 폐기물 관리를 엄격히 해야 한다.
3. 지속적인 연구 및 모니터링: 미세플라스틱의 장기적인 분해 메커니즘, 나노플라스틱의 영향, 그리고 플라스틱에 포함된 첨가제가 해양환경과 미생물에 미치는 영향에 대한 심층적인 연구가 필수적이다.
4. 국제적 협력 및 정책 강화: 미세플라스틱 오염은 특정 지역에 국한되지 않는 전 지구적 문제이므로, 국제적인 협력을 통해 규제를 강화하고 효과적인 관리 방안을 마련해야 한다. 그런 점에서 지금 국제사회가 추진하고 있는 ‘플라스틱 협약’의 체결과 이행이 시급하다.
해양은 지구의 가장 큰 탄소 흡수원 중 하나이며, 이 거대한 시스템에 미세플라스틱이 지속적으로 유입되고 축적되는 것은 돌이킬 수 없는 변화를 초래할 수 있다. 수십 년, 수백 년 후 해양 생태계에 닥쳐올 재앙을 막기 위해서는 지금부터 우리 모두의 적극적인 관심과 노력이 절실한 상황이다.
[강찬수 환경전문기자 겸 칼럼니스트] envirepo@naver.com


